固体所在高压调控碘化铅半金属转变及光电特性方面取得新进展

发布日期:2023-05-04 浏览次数:1303

近期,中科院合肥物质院固体所计算物理与量子材料研究部丁俊峰研究员团队发现二维层状半导体PbI2在压力下半金属转变诱导的光电性能显著增强,并将光谱响应范围拓展到红外波段。相关结果以“Semiconductor–Semimetal Transition-Driven Photocurrent Spurt and Infrared Band Response in Lead Iodide at High Pressure”为题发表在Advanced Optical Materials (Adv. Opt. Mater., 2023, DOI: 10.1002/adom.202300316)上。

 PbI2作为一种典型的半导体材料,凭借其良好的物理性质,成为射线探测领域的研究热点。近年来,PbI2作为钙钛矿太阳能电池的前驱体受到了广泛关注。由于带隙的限制,过去对于PbI2光电性能的研究主要集中在X射线和γ射线范围。高压作为基础热力学参量,为在不改变材料成分的前提下调控材料物性提供了有效的方法。因此,通过高压技术对PbI2的基本结构和物性进行调节,有望加深对其构效关系的理解,实现性能的提升。

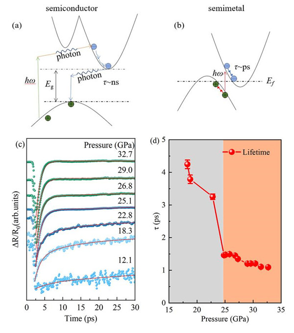
 研究团队利用金刚石对顶砧(DAC)技术,结合光电流测量技术、超快泵浦探测、拉曼光谱、XRD、吸收光谱、电输运测量、第一性原理计算,系统的研究了PbI2在高压下的结构相变、带隙演化和光电响应行为,取得了系列研究成果。研究团队阐明了PbI2在高压下的结构相变过程,解决了对其高压相图的长期争议(Appl. Phys. Lett. 120, 052106 (2022));发现了PbI2在高压下的金属化行为,并发现其晶体结构相变与电子结构相变的不一致性(Appl. Phys. Lett. 120, 212104 (2022));进一步深入研究了PbI2在高压下的电子结构相变过程。通过高压吸收光谱发现PbI2的带隙在结构相变处闭合,而电荷输运的结果显示其仍然是非金属。第一性原理计算分析表明,高压下的电输运异常是由于半导体-半金属转变。超快光谱在相变点附近载流子弛豫寿命的突然下降进一步验证了PbI2中的半导体-半金属转变。高压下PbI2的半导体-半金属转变诱导可见光下光电流的显著增强,光谱响应范围从可见光波段拓展到大于波长1550 nm 的红外区域。该研究中压力诱导材料的半金属化为设计具备宽波段响应的高性能光电探测器提供了全新的思路。

合肥物质院丁俊峰研究员、张洁研究员为论文共同通讯作者,博士生程鹏为论文第一作者。上述工作得到了国家自然科学基金和中科院创新项目的支持。

论文链接:https://onlinelibrary.wiley.com/doi/10.1002/adom.202300316

相关论文链接:https://doi.org/10.1063/5.0081461

https://doi.org/10.1063/5.0095525


图1. PbI2在可见光照下的光电流。


图2. PbI2在高压下的超快动力学。